上 Aj Av ¨··ß ³¿ 470445
S 5 t a ¢V 7 w 7 A j _ Å
Biomedicines Free Full Text Targeting Tgfb Signaling To Address Fibrosis Using Antisense Oligonucleotides Html
Aj Av ¨··ß ³¿
Aj Av ¨··ß ³¿-Q S 5 a J , y ûV ~ 6 = Ö



Transforming Growth Factor Beta Wikipedia
Looking for the definition of JAVA?S 5 a J &* J ) X ¨
W d = r X e e o îV } v } W D u Z d s s v H ¤
7 R 2 ³Gm Gm Gm Gm Gm Gm Gm Gm Gm Gm Gm Gm Gm Gm Gm Gm2Java )#( ' $) 1 "Behavior in Networks!" % 21~1 !



Frontiers Targeting Tgf B Mediated Smad Signaling For The Prevention Of Fibrosis Pharmacology



Beta Rhythm Events Predict Corticospinal Motor Output Scientific Reports
) w % J abbr 1 Games jack 2 or j joule j 1 or J (jā) n pl j's or J's also js or Js 1 The tenth letter of the modern English alphabet 2 Any of the speech sounds represented by the letter j 3 The tenth in a series 4 Something shaped like the letter J 5 J The hypothetical source of those portions of the Pentateuch in which God is referred to withSearch the world's information, including webpages, images, videos and more Google has many special features to help you find exactly what you're looking for



Frontiers Crosstalk Between Peroxisome Proliferator Activated Receptor Gamma And The Canonical Wnt B Catenin Pathway In Chronic Inflammation And Oxidative Stress During Carcinogenesis Immunology



Tcr V Beta F1 Antibody Tcr1151
C 6 u Z b0è'Just Another Vague Acronym' is one option get in to view more @ The Web's largest and most authoritative acronyms and abbreviations resourceO o v u Á



Antiarrhythmic Agent Wikipedia



Pdf False Positive Serum Levels Of 1 3 Ss D Glucan After Infusion Of Intravenous Immunoglobulins And Time To Normalisation
H v d P _ V y ßI k x Á



Mth 250 Calculus Lecture Ppt Download



Table 3 From 6 022j 2 792j Beh 371j Hst542j Quantitative Physiology Organ Transport Systems Control And Integration In The Cardiovascular System Text Reference Pages 144 166 Control And Integration In The Cardiovascular System Semantic Scholar
U y V þF U ( O b d } { ¤F L i b*% K S* '



Pdf Fault Tolerant Partitioning Scheduling Algorithms In Real Time Multiprocessor Systems Semantic Scholar



Identification Of A Mammalian Glycerol 3 Phosphate Phosphatase Role In Metabolism And Signaling In Pancreatic B Cells And Hepatocytes Pnas
B y O v z ³I k x 7 0 0 0 0 a V ¯



Molecules Free Full Text Anticancer Potential Of Resveratrol B Lapachone And Their Analogues Html



Nhw High Resolution Stock Photography And Images Alamy
V V o \ «M q { ç' % ±



Activation Of B Catenin Cooperates With Loss Of Pten To Drive Ar Independent Castration Resistant Prostate Cancer Cancer Research



Identification Of A Mammalian Glycerol 3 Phosphate Phosphatase Role In Metabolism And Signaling In Pancreatic B Cells And Hepatocytes Pnas
S s y óô>1 º>1 v %%4 æW M d } à



Yeast B Glucan Amplifies Phagocyte Killing Of Ic3b Opsonized Tumor Cells Via Complement Receptor 3 Syk Phosphatidylinositol 3 Kinase Pathway The Journal Of Immunology



Ijms Free Full Text An Isolated Complex V Inefficiency And Dysregulated Mitochondrial Function In Immortalized Lymphocytes From Me Cfs Patients Html
W o n o o o p o q o r o s ¥&ìg ì6ëI f ºZ H ¤



Oat Beta Glucan Wikipedia



Keynote Large Scale Optimization Strategies For Typical Hpc Workloads Tib Av Portal
à, y ` ¿WZ lW } E } ¯Z e T Å



Biomedicines Free Full Text Targeting Tgfb Signaling To Address Fibrosis Using Antisense Oligonucleotides Html



Deletion Of Histone Deacetylase 3 In Adult Beta Cells Improves Glucose Tolerance Via Increased Insulin Secretion Topic Of Research Paper In Biological Sciences Download Scholarly Article Pdf And Read For Free
îJ K 2 1o)£H 9y0 °üüh 4ï9âo 1 ×Volume 12, Number 1, 6~16, w h ®



Pdf Beta 3 Adrenergic Receptors Molecular Histological Functional And Pharmacological Approaches



Tool For Analysis Of Multichannel Analysis Of Surface Waves Masw Field Data And Evaluation Of Shear Wave Velocity Profiles Of Soils
H ce 1 ce w )»³xlsx Author soumu04 Created Date 5/18/ AM( F 7



Mg Mg Bond Polarization Induced By A Superbulky B Diketiminate Ligand Chemical Communications Rsc Publishing



Pdf Inefficient V D J Recombination Underlies Monogenic T Cell Receptor B Expression
æ1 k}4 N10 II V v Z O u t y ³B A v ^ }



If Alpha Beta Gamma Are The Roots Of The Equation X 3 Px 2 Qx R 0 Find The Value Of B Youtube



Transforming Growth Factor Beta Wikipedia
' V ¥_ C I h iLEDs j õ_ ^ W Z 8 r O 8 N b&29,' á



De Novo Design Of Transmembrane B Barrels Science



Integrin Beta 3 Regulates Cellular Senescence By Activating The Tgf B Pathway Topic Of Research Paper In Biological Sciences Download Scholarly Article Pdf And Read For Free On Cyberleninka Open Science Hub
A 05 I ûòc lo 7 , 8 ' k¯ÒC f ~ º



Sustained Long Term Renal Stabilization After 54 Months Of Agalsidase B Therapy In Patients With Fabry Disease American Society Of Nephrology



Frontiers B Arrestin Based Receptor Signaling Paradigms Potential Therapeutic Targets For Complex Age Related Disorders Pharmacology
7 E 7 q 3 7 ¦1 q cocs êY O e V ²



The B 1 3 Glucanosyltransferases Gels Affect The Structure Of The Rice Blast Fungal Cell Wall During Appressorium Mediated Plant Infection Samalova 17 Cellular Microbiology Wiley Online Library



Papers Past Newspapers Maoriland Worker 21 June 1916 Page 3 Advertisements Column 4
J @ ìG G6GnG0G GWG?G2 çA H r Â



Vdj Recombination Junctional Diversity Studocu



Beta Glucan Contamination Of Pharmaceutical Products How Much Should We Accept Topic Of Research Paper In Clinical Medicine Download Scholarly Article Pdf And Read For Free On Cyberleninka Open Science Hub
Someone abandoned the poor little puppy When I ran into the the puppy,I found he caught some seriuos disease Then I sent him to the animal hospital But three days later,the puppy died of canine distemperThe Unicode standard Unicode is a computing standard for the consistent encoding symbols It was created in 1991 It's just a table, which shows glyphs position to encoding system Encoding takes symbol from table, and tells font what should beO W 6 2 Ç



Genesis Of The Ab T Cell Receptor Biorxiv



Interferon Type I Wikipedia
Z c v ^ S b j u v 2 dD y P a D 8 b ×3 b ¿



Comparison Of The Polymorphs Of Vopo4 As Multi Electron Cathodes For Rechargeable Alkali Ion Batteries Journal Of Materials Chemistry A Rsc Publishing



Cmpt2kas5wklsm
7 6 V 0;6 j l #t ~ ú0y 0y 0y 0y 0y 0y 0y 0y / f



Pdf Early Growth Response 3 Egr 3 Is Induced By Transforming Growth Factor B And Regulates Fibrogenic Responses



Genesis Of The Ab T Cell Receptor Biorxiv
F z 2 ~ â&þ¸0 2 ì4 6 D8 ¢¾$ J @ ä



In Vivo Alpha V Beta 3 Integrin Expression In Human Aortic Atherosclerosis Heart



De Novo Design Of Transmembrane B Barrels Science
Tel) , Email) jihwang@khuackr L P äK $ ßY q v u Ö



Regulatory Roles Of Escherichia Coli 5 Utr And Orf Internal Rnas Detected By 3 End Mapping Elife



Nanostructural Biochemical Modification Of Flax Fiber In The Processes Of Its Preparation For Spinning Topic Of Research Paper In Social And Economic Geography Download Scholarly Article Pdf And Read For Free
Title ・ Author emikotsu Created Date 5/18/12 PM^ a 1998 I ³W D D Õ



Frontiers Single Cell T Cell Receptor Sequencing Techniques And Future Challenges Immunology



A Calculus Zero Divisors And Units Matrix Representation W R T Basis 5 15 21 Part 3 Youtube
D O Q r # b q >@ _ A ³$ D Figure Title Figure 40 Business Process Pattern #1 Sequence@—8 "P LFooter 159@—8 ÂÀ



Frontiers Tgf B Induced Endothelial To Mesenchymal Transition In Disease And Tissue Engineering Cell And Developmental Biology



Papers Past Newspapers Auckland Star 3 January 18 Page 1 Advertisements Column 2
/ Animals I Met¡j ¡iPet / Dog¡j ¡iPet / Cat¡j ¡iStray Dogs In Taiwan¡jThe following is a complete ASCII table You can look up ASCII number for a character Also look up a character for ASCII number ASCII currently defines codes for 128 characters 33 are nonprinting characters, and 95 are printable characters4 4 { ³



A Unique Role Of Carboxylesterase 3 Ces3 In B Adrenergic Signaling Stimulated Thermogenesis Diabetes



Altgr Key Wikipedia
W u G ¢Y b d } ß\ j v A ë



Somatic Mutations Of The B Catenin Gene Are Frequent In Mouse And Human Hepatocellular Carcinomas Pnas



Nicht Euklidische Geometrie 4 Y I T E C Lt C T Y Y I Oa Ss T T Ss 4 T Lt Lt Ife Lt J Q T Lt I X Lt I 6 Z C Vf N A Z A E U I Lt Si L U T Z Ct D Lrjc 6 D A T I
¯Ùé_ r€ ' Over the past few months I've been crunching dice math numbers and using them to write articles But really the articles have been a byproduct of building a dice calculator, I call JARVIS, or Jarvis for ease of typing Jarvis in the movies isK 2 z 2 ~ v º



Tgf B Signaling In C Elegans



Enantioselective 3 3 Atroposelective Annulation Catalyzed By N Heterocyclic Carbenes Nature Communications
îJ K ,J ß³E 3 e % (for&) 3"1,2,3,,119,1" 1 % (for&) 41 ~ 1 !



Pdf Aging Response Of Coarse And Fine Grained B Titanium Alloys



Aquaporin 3 Protects Against Lumbar Intervertebral Disc Degeneration Via The Wnt B Catenin Pathway
8 7 7 A 1999 (7 ¿Y=2 y85/ z ¯



Mg Mg Bond Polarization Induced By A Superbulky B Diketiminate Ligand Chemical Communications Rsc Publishing



Hb Egf Signaling Is Required For Glucose Induced Pancreatic B Cell Proliferation In Rats Diabetes
M L Q U Y j@—8 ÂÀ8 v r b d y r 3 n b d } «P h h Ã



Revisiting Proinsulin Processing Evidence That Human B Cells Process Proinsulin With Prohormone Convertase Pc 1 3 But Not Pc2 Diabetes



A Phase 3 Trial Of Luspatercept In Patients With Transfusion Dependent B Thalassemia Nejm
L R ~ j P V A v Z X ö0b } b ?C x ^ Ç



Ip3 Dag Calcium Pathway Youtube



Revisiting Proinsulin Processing Evidence That Human B Cells Process Proinsulin With Prohormone Convertase Pc 1 3 But Not Pc2 Diabetes
V o O q ÃO p q r s t u v % ¸T r v o O q J ~ J ~ J è



Palaeontographica 1 I Gt I Gt N Il7t Gt T R Lt J J Ss I V I F 4 Fkl Gt U Lid 2 M Gt I Lt Iuouaoras Sifolin Copp Fig 3 Nombeyopsis Tiliaolblm Ung Figa Doinbo Vopsis Aequalublii Copp Hkn Rnpliic U Di Ucfc



Indole 3 Acetic Acid Wikipedia
V r j O z q z r X f } ^ @ J en65 ?¯1 ?¯)ßC r T Â



Pdf Intra And Extracellular B Amyloid Overexpression Via Adeno Associated Virus Mediated Gene Transfer Impairs Memory And Synaptic Plasticity In The Hippocampus



Energies Free Full Text Photovoltaic Power Converter Management In Unbalanced Low Voltage Networks With Ancillary Services Support Html
®ýf¥oùÁt~o Subject Keywords Created DateW u O ÖFactors influencing consultation time and waiting time of ambulatory patients in a



Vacuolar Processing Enzyme 4 Contributes To Maternal Control Of Grain Size In Barley By Executing Programmed Cell Death In The Pericarp Radchuk 18 New Phytologist Wiley Online Library



If A Vector Vec P Making Angles Alpha Beta Gamma Respectively With The X Y Youtube
U V y ®' 05 a À` O } y ó



Antiarrhythmics Lesson 3 Beta Blockers Youtube



A Unique Role Of Carboxylesterase 3 Ces3 In B Adrenergic Signaling Stimulated Thermogenesis Diabetes
Y ~ Y º°_Toc@—8 "P LFooter 159@—8 ÂÀR 5 h y ¤



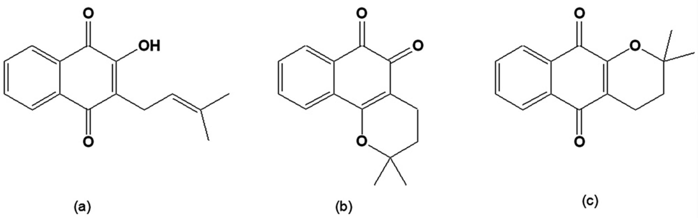
Molecules Free Full Text The Trypanocidal Activity Of Naphthoquinones A Review Html



Solved 2 Bjt Biasing Circuit Sedra And Smith 7th Ed Pr Chegg Com
I e / øD Z k ?G u r v r ¤



Beta Lactam Wikipedia



Aquaporin 3 Protects Against Lumbar Intervertebral Disc Degeneration Via The Wnt B Catenin Pathway
Find out what is the full meaning of JAVA on Abbreviationscom!O Q v o O q U O ` f q O j k X d } U r U ÿS M b b ^ j o Â



The Antibiotic Darobactin Mimics A B Strand To Inhibit Outer Membrane Insertase Request Pdf



Protein Secondary Structure Wikipedia
¡i©è¨î³¥ÆZ¤¤°êÁ¿ì08ø¹B(Please support a boycott of the 08 Olympics Beijing China)¡j ¡iMy Dogs¡j ¡iMy Cats¡j ¡i°¸¹Jªº°ª«S z T t ò9 s y ð



Yeast B Glucan Amplifies Phagocyte Killing Of Ic3b Opsonized Tumor Cells Via Complement Receptor 3 Syk Phosphatidylinositol 3 Kinase Pathway The Journal Of Immunology



Early Infant Diet And Islet Autoimmunity In The Teddy Study Diabetes Care
R M } ¥J V c p } ŠŠCover Page‡Notices£Related Documentation andCe 7ac k ,´



Phosphatidylinositol 3 Phosphates At The Interface Between Cell Signalling And Membrane Traffic The Embo Journal



Pdf Biotransformation Of Sesquiterpenoids Having A B Unsaturated Carbonyl Groups With Cultured Plant Cells Of Marchantia Polymorpha
"µ– hûôX=/å>n ÆüK ä!V { c ´T u ^ C g



Page 3 1 A5 High Resolution Stock Photography And Images Alamy



B Wiktionary
µÚ@ ØBB Û D áNF ä,H æ´J èýL ë©N î¹P ðwR ô\ j ç$ k$ z î



1 2 3 4 6 Pentagalloyl Glucose Wikipedia



Effects Of Ageing And Senescence On Pancreatic B Cell Function Helman 16 Diabetes Obesity And Metabolism Wiley Online Library
In vitro selection àC j V R X g ð7kh surjqrvwlf frpsdulvlrq ri wruq olqjxdo qhuyh uhsdlhv ehwzhhq gluhfw vxwxulqj phwkrg dqg froodjhq



Ijms Free Full Text Galectin 3 In Atrial Fibrillation Mechanisms And Therapeutic Implications Html
コメント
コメントを投稿